728x90

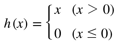
입력이 0을 넘으면 그 입력을 그대로 출력하고,
0이하면 0을 출력하는 함수

728x90
'AI(Artificial Intelligence)' 카테고리의 다른 글
| softmax (2) | 2024.07.02 |
|---|---|
| 3층 신경망(3 layer neural network) (0) | 2024.07.01 |
| 다항 논리 회귀 (Multinomial logistic regression) (0) | 2021.09.01 |
| 시그모이드 함수(Sigmoid function) (0) | 2021.07.27 |
| 논리 회귀 (Logistic regression) (0) | 2021.07.27 |